商业用房租金上涨计算解读
法国的商业租约一般是9年( Bail Commercial,3-6-9),也有商业中心的租约是10年或12年的。
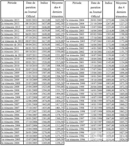
签租约合同时双方洽谈好一个始房租(LOYER DE DÉPART),在合同上注明这个始房租,付房租方式可以是每一个月一次,或者每三个月一次;并且注明押金数目,租金调整方式。一般的租约是根据法国建筑费用指数 (Indice De Coût De La Construction,简称ICC)来调整。 ICC是从1953年开始的,起初是100,到了2013年第三季度已经涨到1612。国家统计局一年4个季度公布四次。
简单来说,一个商业用房1953年时付100欧的房租,到2013年要付1612欧的房租。从2000年到2010年,ICC指数从1083涨到1508,上涨了40%,从2010年到2013年,又上涨了9%。
可以说,从2000年来,商业用房的房租根据ICC指数每年上涨了3%-4 %。商家的房租负担越来越重,并不是每一家的生意每年都有3%-4%的上涨。
法国政府于2008年又推出一个新的商业用房指数(Indice Des Loyers Commerciaux,简称ILC)。2008年是100;2013年第三季度是108,47。3年来涨了8,5%。
不过很少看到使用ILC指数的租约,华人朋友开的商店绝大部分都是使用从1953年开始的ICC。
我们将拿一个合同的例子给大家解释。
ARTICLE CP 4 – LOYER
CP 4.1 Loyer de base :
Le montant du loyer annuel en principal sera de 28,560 euros ( vingt-huit mille cinq cent soixante euros) hors taxes et hors charge, droit proportionnel inclus, valeur indice INSEE du coût de la construction du 2ème trimestre 2009 soit 1498.
CP 4.2 Indexation
Ce loyer sera indexé par période triennale à la date anniversaire de la prise d’effet du bail dans les conditions prévues à l’article CG 7 soit chaque 25 avril et pour la première fois le 25 avril 2012, l’indice de référence étant celui du 2ème trimestre 2009 soit 1498.
这个合同内写明租金是每三年涨一次的,所以当您2009第二季度年租下这个房子时,下一次涨房租是在2012年第二季度,而涨的幅度是可以在下面的表格里查到,2012年第二季度的数字是1666。
我们的计算方法是 :
2012年第二季度的指数÷2009年第二季度的指数×始房租价格,就是1666÷1498×28,560€=31,763€。
也就是说,2012年开始,你要交31,763欧元的房租。
每个商业用房的合同都可以规定不同时间的增长,一般来说都是三年。
这里我们为大家列出从1996年开始的每季度增长指数供大家参考。有任何问题都欢迎咨询。

欣业贷款
EURO PACIFIC FINANCE
邹晓东主理
地址:96, bd de Magenta
75010 Paris
Tél:01 44 78 80 68




